起因:

有些时候自家APP中嵌入的H5页面并不是自家的。但是很多时候又想在H5不知情的情况下获取H5内部请求的参数,这应该怎么做到呢?

带着这个疑问,就有了这篇博客。

实现过程:

方案一:

最开始想到的方案是直接拦截H5中所有的请求:

webView.setWebViewClient(new WebViewClient() {
  @Override
  public WebResourceResponse shouldInterceptRequest(WebView view, WebResourceRequest request) {
    try {
      URL url = new URL(request.getUrl());
    } catch (MalformedURLException e) {
      e.printStackTrace();
    }
    Log.e("InternetActivity", request   "");
    return super.shouldInterceptRequest(view, request);
  }

});

但是通过此方法只能获取get请求的参数(因为参数直接拼在了url链接中),对于post请求的参数无可奈何。

方案二:

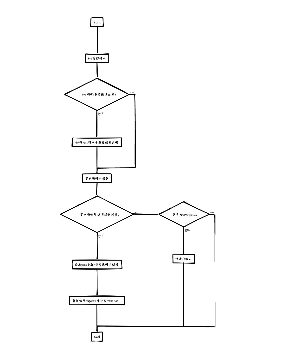
后来参考了request_data_webviewclient,有了新的实现方式,具体原理为:给H5注入一段js代码,目的是在每次Ajax请求都会调用Android原生的方法,将请求参数传给客户端。

具体流程如下:

 

其中,

js注入代码:

<script language="JavaScript">
  function generateRandom() {
   return Math.floor((1   Math.random()) * 0x10000)
    .toString(16)
    .substring(1);
  }
  // This only works if `open` and `send` are called in a synchronous way
  // That is, after calling `open`, there must be no other call to `open` or
  // `send` from another place of the code until the matching `send` is called.
  requestID = null;
  XMLHttpRequest.prototype.reallyOpen = XMLHttpRequest.prototype.open;
  XMLHttpRequest.prototype.open = function(method, url, async, user, password) {
    requestID = generateRandom()
    var signed_url = url   "AJAXINTERCEPT"   requestID;
    this.reallyOpen(method, signed_url , async, user, password);
  };
  XMLHttpRequest.prototype.reallySend = XMLHttpRequest.prototype.send;
  XMLHttpRequest.prototype.send = function(body) {
    interception.customAjax(requestID, body);
    this.reallySend(body);
  };
</script>

客户端拦截请求:

@Override
public final WebResourceResponse shouldInterceptRequest(final WebView view, WebResourceRequest request) {
  String requestBody = null;
  Uri uri = request.getUrl();
  // 判断是否为Ajax请求(只要链接中包含AJAXINTERCEPT即是)
  if (isAjaxRequest(request)) {
    // 获取post请求参数
    requestBody = getRequestBody(request);
    // 获取原链接
    uri = getOriginalRequestUri(request, MARKER);
  }
  // 重新构造请求,并获取response
  WebResourceResponse webResourceResponse = shouldInterceptRequest(view, new WriteHandlingWebResourceRequest(request, requestBody, uri));
  if (webResourceResponse == null) {
    return webResourceResponse;
  } else {
    return injectIntercept(webResourceResponse, view.getContext());
  }
}

客户端注入js代码:

private WebResourceResponse injectIntercept(WebResourceResponse response, Context context) {
  String encoding = response.getEncoding();
  String mime = response.getMimeType();
  // WebResourceResponse的mime必须为"text/html",不能是"text/html; charset=utf-8"
  if (mime.contains("text/html")) {
    mime = "text/html";
  }
  InputStream responseData = response.getData();
  InputStream injectedResponseData = injectInterceptToStream(
      context,
      responseData,
      mime,
      encoding
  );
  return new WebResourceResponse(mime, encoding, injectedResponseData);
}

注:根据谷歌官方文档,mime必须为"text/html"。

反思:

•开发过程中遇到了页面一直显示不了的问题,实际上就是因为获取到的mime是"text/html; charset=utf-8",得改成"text/html";

•通过此方法也可篡改response与request,但不要滥用;

•所以说,Android确实不安全!

GitHub地址:webview_post_data

总结

以上所述是小编给大家介绍的Android拦截并获取WebView内部POST请求参数的实现方法,希望对大家有所帮助,如果大家有任何疑问请给我留言,小编会及时回复大家的。在此也非常感谢大家对Devmax网站的支持!
如果你觉得本文对你有帮助,欢迎转载,烦请注明出处,谢谢!

Android拦截并获取WebView内部POST请求参数的实现方法的更多相关文章

  1. html5 canvas合成海报所遇问题及解决方案总结

    这篇文章主要介绍了html5 canvas合成海报所遇问题及解决方案总结,小编觉得挺不错的,现在分享给大家,也给大家做个参考。一起跟随小编过来看看吧

  2. Html5 video标签视频的最佳实践

    这篇文章主要介绍了Html5 video标签视频的最佳实践,文中通过示例代码介绍的非常详细,对大家的学习或者工作具有一定的参考学习价值,需要的朋友们下面随着小编来一起学习学习吧

  3. HTML5在微信内置浏览器下右上角菜单的调整字体导致页面显示错乱的问题

    HTML5在微信内置浏览器下,在右上角菜单的调整字体导致页面显示错乱的问题,本文给大家介绍的非常详细,对大家的学习或工作具有一定的参考借鉴价值,需要的朋友参考下吧

  4. ios – containerURLForSecurityApplicationGroupIdentifier:在iPhone和Watch模拟器上给出不同的结果

    我使用默认的XCode模板创建了一个WatchKit应用程序.我向iOSTarget,WatchkitAppTarget和WatchkitAppExtensionTarget添加了应用程序组权利.(这是应用程序组名称:group.com.lombax.fiveminutes)然后,我尝试使用iOSApp和WatchKitExtension访问共享文件夹URL:延期:iOS应用:但是,测试NSURL

  5. ios – 将视频分享到Facebook

    我正在编写一个简单的测试应用程序,用于将视频从iOS上传到Facebook.由于FacebookSDK的所有文档都在Objective-C中,因此我发现很难在线找到有关如何使用Swift执行此操作的示例/教程.到目前为止我有这个在我的UI上放置一个共享按钮,但它看起来已禁用,从我读到的这是因为没有内容设置,但我看不出这是怎么可能的.我的getVideoURL()函数返回一个NSURL,它肯定包含视

  6. ios – 错误域= NSURLErrorDomain代码= -1003“找不到具有指定主机名的服务器

    当我尝试在设备上运行应用程序时出现此错误.当我在模拟器上运行它并且post请求正常工作时,我没有收到此错误.这是我的代码片段:任何帮助表示赞赏.谢谢解决方法此错误通常会提示DNS相关问题.检查设备上的DNS设置并确认您可以使用Safari或其他浏览器浏览互联网.如果有一个url,你可以在同一台服务器上获取,尝试直接在设备上的Safari中访问它.

  7. Ionic – Splash Screen适用于iOS,但不适用于Android

    我有一个离子应用程序,其中使用CLI命令离子资源生成的启动画面和图标iOS版本与正在渲染的启动画面完美配合,但在Android版本中,只有在加载应用程序时才会显示白屏.我检查了config.xml文件,所有路径看起来都是正确的,生成的图像出现在相应的文件夹中.(我使用了splash.psd模板来生成它们.我错过了什么?这是config.xml文件供参考,我觉得我在这里做错了–解决方法在config.xml中添加以下键:它对我有用!

  8. ios – Xcode Bot:如何在post触发器脚本上获得.ipa路径?

    我正在使用机器人来存档iOS应用程序,我需要获取.ipa产品路径才能将其发布到我们的分发系统中.机器人设置:并使用脚本打印所有env变量,其中不包含ipa文件的路径.此外,一些变量指向不存在的目录,即:XCS_OUTPUT_DIR这里的env变量输出:除此之外,我还能够确认.ipa文件是在另一个文件夹中创建的(/IntegrationAssets//

  9. ios – 无法启动iPhone模拟器

    /Library/Developer/CoreSimulator/Devices/530A44CB-5978-4926-9E91-E9DBD5BFB105/data/Containers/Bundle/Application/07612A5C-659D-4C04-ACD3-D211D2830E17/ProductName.app/ProductName然后,如果您在Xcode构建设置中选择标准体系结构并再次构建和运行,则会产生以下结果:dyld:lazysymbolbindingFailed:Symbol

  10. ios – 使用CocoaPods post install hook将自定义路径添加到HEADER_SEARCH_PATHS

    解决方法在Podfile中定义一个方法:然后在post_install中调用该方法:

随机推荐

  1. Flutter 网络请求框架封装详解

    这篇文章主要介绍了Flutter 网络请求框架封装详解,小编觉得挺不错的,现在分享给大家,也给大家做个参考。一起跟随小编过来看看吧

  2. Android单选按钮RadioButton的使用详解

    今天小编就为大家分享一篇关于Android单选按钮RadioButton的使用详解,小编觉得内容挺不错的,现在分享给大家,具有很好的参考价值,需要的朋友一起跟随小编来看看吧

  3. 解决android studio 打包发现generate signed apk 消失不见问题

    这篇文章主要介绍了解决android studio 打包发现generate signed apk 消失不见问题,具有很好的参考价值,希望对大家有所帮助。一起跟随小编过来看看吧

  4. Android 实现自定义圆形listview功能的实例代码

    这篇文章主要介绍了Android 实现自定义圆形listview功能的实例代码,本文通过实例代码给大家介绍的非常详细,对大家的学习或工作具有一定的参考借鉴价值,需要的朋友可以参考下

  5. 详解Android studio 动态fragment的用法

    这篇文章主要介绍了Android studio 动态fragment的用法,本文给大家介绍的非常详细,对大家的学习或工作具有一定的参考借鉴价值,需要的朋友可以参考下

  6. Android用RecyclerView实现图标拖拽排序以及增删管理

    这篇文章主要介绍了Android用RecyclerView实现图标拖拽排序以及增删管理的方法,帮助大家更好的理解和学习使用Android,感兴趣的朋友可以了解下

  7. Android notifyDataSetChanged() 动态更新ListView案例详解

    这篇文章主要介绍了Android notifyDataSetChanged() 动态更新ListView案例详解,本篇文章通过简要的案例,讲解了该项技术的了解与使用,以下就是详细内容,需要的朋友可以参考下

  8. Android自定义View实现弹幕效果

    这篇文章主要为大家详细介绍了Android自定义View实现弹幕效果,文中示例代码介绍的非常详细,具有一定的参考价值,感兴趣的小伙伴们可以参考一下

  9. Android自定义View实现跟随手指移动

    这篇文章主要为大家详细介绍了Android自定义View实现跟随手指移动,文中示例代码介绍的非常详细,具有一定的参考价值,感兴趣的小伙伴们可以参考一下

  10. Android实现多点触摸操作

    这篇文章主要介绍了Android实现多点触摸操作,实现图片的放大、缩小和旋转等处理,文中示例代码介绍的非常详细,具有一定的参考价值,感兴趣的小伙伴们可以参考一下

返回
顶部