在Android里面,想要实现一个类似相册的左右滑动效果,我们除了可以用Gallery、HorizontalScrollView、ViewPager等控件,还可以用一个叫做 ViewFlipper 的类来代替实现,它继承于 ViewAnimator。如见其名,这个类是跟动画有关,会将添加到它里面的两个或者多个View做一个动画,然后每次只显示一个子View,通过在 View 之间切换时执行动画,最终达到一个类似相册能左右滑动的效果。
本次功能要实现的两个基本效果
- 最基本的左右滑动效果
- 从屏幕的45度方向进入和退出的效果
实现思路
- 按照 ViewFlipper 的源码说明,它是将两个或多个View用动画展示出来。那么我就在 ViewFlipper 内放入两个布局,每个布局都包含一个 TextView 和 ImageView,分别用于显示文字和图片
- 既然要有动画效果,我准备使用Android的位移动画类 TranslateAnimation,设置起始的横纵坐标值
- 为了让效果明显,我会设置 ViewFlipper 的进入和退出屏幕的动画,并且在左滑时呈现一个动画、右滑时呈现另一个动画(需要判断是左滑还是右滑:重写 onTouchEvent 方法,比较横坐标X的值的变化)
源码如下:
1、主Activity
// import语句省略
public class ViewFlipperDemo extends Activity {
private static final String TAG = "ViewFlipperDemo";
private ViewFlipper mViewFlipper;
private float mOldTouchValue;
@Override
protected void onCreate(Bundle onSavedInstance) {
super.onCreate(onSavedInstance);
// 设置为全屏
getWindow().setFlags(WindowManager.LayoutParams.FLAG_FULLSCREEN, WindowManager.LayoutParams.FLAG_FULLSCREEN);
requestWindowFeature(Window.FEATURE_NO_TITLE);
setContentView(R.layout.view_flipper_demo);
mViewFlipper = findViewById(R.id.viewFlipper1);
}
@Override
public boolean onTouchEvent(MotionEvent event) {
switch (event.getAction()) {
case MotionEvent.ACTION_DOWN:
mOldTouchValue = event.getX();
break;
case MotionEvent.ACTION_UP:
float currentX = event.getX();
// 手指向右滑动: 手指向右滑动时横坐标 X 的值会变大,因此 currentX 的值更大
if (mOldTouchValue < currentX) {
// 进入屏幕的动效
mViewFlipper.setInAnimation(AnimationHelper.inFromLeftAnimation());
// 退出屏幕的动效
mViewFlipper.setOutAnimation(AnimationHelper.outToRightAnimation());
mViewFlipper.showNext();
}
// 横坐标的值变小,说明是左滑
if (mOldTouchValue > currentX) {
// 进入屏幕的动效
mViewFlipper.setInAnimation(AnimationHelper.inFromRightAnimation());
// 退出屏幕的动效
mViewFlipper.setOutAnimation(AnimationHelper.outToLeftAnimation());
mViewFlipper.showPrevious();
}
break;
default:
break;
}
return super.onTouchEvent(event);
}
}
2、对应的布局文件 view_flipper_demo.xml
<LinearLayout xmlns:android="http://schemas.android.com/apk/res/android"
android:layout_width="match_parent"
android:layout_height="match_parent"
android:orientation="vertical">
<TextView android:layout_width="match_parent"
android:layout_height="wrap_content"
android:textColor="@color/colorBlack"
android:gravity="center"
android:text="这是一个ViewFlipper样例"
android:paddingTop="20dp"/>
<ViewFlipper android:layout_width="match_parent"
android:layout_height="match_parent"
android:id="@ id/viewFlipper1">
<LinearLayout android:layout_width="match_parent"
android:layout_height="match_parent"
android:orientation="vertical"
android:gravity="center">
<TextView android:layout_width="match_parent"
android:layout_height="wrap_content"
android:textColor="@color/colorBlue"
android:gravity="center"
android:text="这是第一个ViewFlipper页面"/>
<ImageView android:layout_width="wrap_content"
android:layout_height="wrap_content"
android:src="@drawable/avasterdr"/>
</LinearLayout>
<LinearLayout android:layout_width="match_parent"
android:layout_height="match_parent"
android:orientation="vertical"
android:gravity="center" >
<TextView android:layout_width="match_parent"
android:layout_height="wrap_content"
android:textColor="@color/colorBlue"
android:gravity="center"
android:text="这是第二个ViewFlipper页面"/>
<ImageView android:layout_width="wrap_content"
android:layout_height="wrap_content"
android:src="@drawable/avastertony"/>
</LinearLayout>
</ViewFlipper>
</LinearLayout>
3、动画辅助类 AnimationHelper.java
public class AnimationHelper {
// 左滑的进入动画
public static Animation inFromRightAnimation() {
Animation inFromRight = new TranslateAnimation(
Animation.RELATIVE_TO_PARENT,
1.0f,
Animation.RELATIVE_TO_PARENT,
0.0f,
Animation.RELATIVE_TO_PARENT,
0.0f,
Animation.RELATIVE_TO_PARENT,
0.0f);
inFromRight.setDuration(500);
inFromRight.setInterpolator(new AccelerateInterpolator());
return inFromRight;
}
// 左滑的退出动画
public static Animation outToLeftAnimation() {
Animation outToLeft = new TranslateAnimation(
Animation.RELATIVE_TO_PARENT,
0.0f,
Animation.RELATIVE_TO_PARENT,
-1.0f,
Animation.RELATIVE_TO_PARENT,
0.0f,
Animation.RELATIVE_TO_PARENT,
0.0f);
outToLeft.setDuration(500);
outToLeft.setInterpolator(new AccelerateInterpolator());
return outToLeft;
}
// 右滑的进入动画
public static Animation inFromLeftAnimation() {
Animation inFromLeft = new TranslateAnimation(
Animation.RELATIVE_TO_PARENT,
-1.0f,
Animation.RELATIVE_TO_PARENT,
0.0f,
Animation.RELATIVE_TO_PARENT,
0.0f,
Animation.RELATIVE_TO_PARENT,
0.0f);
inFromLeft.setDuration(500);
inFromLeft.setInterpolator(new AccelerateInterpolator());
return inFromLeft;
}
// 右滑的退出动画
public static Animation outToRightAnimation() {
Animation outToRight = new TranslateAnimation(
Animation.RELATIVE_TO_PARENT,
0.0f,
Animation.RELATIVE_TO_PARENT,
1.0f,
Animation.RELATIVE_TO_PARENT,
0.0f,
Animation.RELATIVE_TO_PARENT,
0.0f);
outToRight.setDuration(500);
outToRight.setInterpolator(new AccelerateInterpolator());
return outToRight;
}
}
4、对应的效果图如下

可以看到,这个左右滑动效果没有任何酷炫的地方。我们不妨先来看看跟动画相关的几个重点地方:
(1)函数 setInAnimation:是指 View 进入屏幕的动效
(2)函数 setOutAnimation:是指 View 退出屏幕的动效
(3)TranslateAnimation的构造函数的参数解释:
1、fromXType/toXType/fromYType/toYType,取值共有三个:
Animation.ABSOLUTEAnimation.RELATIVE_TO_SELFAnimation.RELATIVE_TO_PARENT
我这里用的是 Animation.RELATIVE_TO_PARENT,当传入该参数时,其余几个坐标值需要传入百分比参数(1.0表示100%);如果传入 Animation.ABSOLUTE,坐标值需要传入屏幕上的绝对位置(比如1000,1000)
2、fromXValue:起点的横坐标值
3、toXValue:终点的横坐标值
4、fromYValue:起点的纵坐标值
5、toYValue:终点的纵坐标值
如果我们想让这个效果变成45度从屏幕的四个角进入和退出,那代码就应该这么写(注意代码中传入的 4 个横纵坐标值):
// 左滑的进入动画
public static Animation inFromRightAnimation() {
Animation inFromRight = new TranslateAnimation(
Animation.RELATIVE_TO_PARENT,
1.0f,
Animation.RELATIVE_TO_PARENT,
0.0f,
Animation.RELATIVE_TO_PARENT,
-1.0f,
Animation.RELATIVE_TO_PARENT,
0.0f);
inFromRight.setDuration(500);
inFromRight.setInterpolator(new AccelerateInterpolator());
return inFromRight;
}
// 左滑的退出动画
public static Animation outToLeftAnimation() {
Animation outToLeft = new TranslateAnimation(
Animation.RELATIVE_TO_PARENT,
0.0f,
Animation.RELATIVE_TO_PARENT,
-1.0f,
Animation.RELATIVE_TO_PARENT,
0.0f,
Animation.RELATIVE_TO_PARENT,
1.0f);
outToLeft.setDuration(500);
outToLeft.setInterpolator(new AccelerateInterpolator());
return outToLeft;
}
// 右滑的进入动画
public static Animation inFromLeftAnimation() {
Animation inFromLeft = new TranslateAnimation(
Animation.RELATIVE_TO_PARENT,
-1.0f,
Animation.RELATIVE_TO_PARENT,
0.0f,
Animation.RELATIVE_TO_PARENT,
-1.0f,
Animation.RELATIVE_TO_PARENT,
0.0f);
inFromLeft.setDuration(500);
inFromLeft.setInterpolator(new AccelerateInterpolator());
return inFromLeft;
}
// 右滑的退出动画
public static Animation outToRightAnimation() {
Animation outToRight = new TranslateAnimation(
Animation.RELATIVE_TO_PARENT,
0.0f,
Animation.RELATIVE_TO_PARENT,
1.0f,
Animation.RELATIVE_TO_PARENT,
0.0f,
Animation.RELATIVE_TO_PARENT,
1.0f);
outToRight.setDuration(500);
outToRight.setInterpolator(new AccelerateInterpolator());
return outToRight;
}
对应的效果如下:

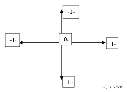
之所以有 -1.0f 这个值,是因为屏幕上的横纵坐标值的分布可以用如下象限来表示:

ViewFlipper中的 View 就位于象限的中心位置。因此,如果动画从左上角进入,那么它的起始横纵坐标就是(-1,-1)。大家可以按照这个思路去实现自己想要的动效。
到此这篇关于Android实现一个比相册更高大上的左右滑动特效(附源码)的文章就介绍到这了,更多相关android 实现左右滑动特效内容请搜索Devmax以前的文章或继续浏览下面的相关文章希望大家以后多多支持Devmax!